目次
ハニカム完成(一応形だけは)(12/3/4)
これはx方向,y方向分割数を増やしても(偶数であれば)大丈夫なプログラム。右の画像はx方向に16分割,y方向に10分割したときの結果。左の画像はx方向に10分割,y方向に20分割した結果。x方向の分割数よりy方向の分割数の方が大きくないとダメかと思ったが,逆でもイケル。まあとりあえず形だけはなんとか卒業までにできたので自分としては満足。
でもこれは,s3要素で作ったためobjファイル形式にして節点と節点の間の点を作ったほうがいいと思う。一発でハニカムが作れるプログラムだと楽だがs6要素で作るとなると点と点の間も自分で作らないといけないので結構大変だと思う。結局ダイヤカットや蛇腹折りのようにするのが楽かも・・でもそうなると節点番号を出したのも意味なくなるのだが・・。作ったのはいいがこれを使うこともなくいなくなるので少し寂しい気もする。まあ仕方がないが。
・・・・もし万が一使う人がいれば,この日誌の一番下を見てほしい。
暇なのでハニカム作ってみた(12/2/21)
1方向だけ(x方向だけかな?)の分割数を増やしても大丈夫なプログラムを作成.
これを基礎としてy方向の分割数を増やせたらいいなぁ.もうちょっと時間があれば作りたいけどあんまりやるとM1に怒られそうなのでここらへんでやめておこうかなと思う(笑)あと正直飽きてきたのでここらが潮時だと思う.
暇なので(引越しとか掃除とかしたほうがいいのだろうけど・・・あと東北支部のスライド作ったり)ハニカムっぽいのを作ってみた.まだ1列しかないけど・・・.この先増やせていけたらカッコイイ感じになるのでは?自分はいないだろうけど.これはs4のシェル要素で構成されている.s4のシェル要素でもできることが分かったが,s8にした方がいいので考えなおす必要がある.objファイル形式にした方がいいのかもしれない.
シェル要素片持ち梁(プログラム)について(一応完成?)(12/2/19)
http://www.str.ce.akita-u.ac.jp/~gotouhan/shibata/kadai2.f
4年生の時につくったプログラムを移植して改造した.下に書いてある箇所を直そうと思って取り組む.もうちょっと時間がかかるかと思ったが,一応できた.
このプログラムは拘束条件も載荷条件もちゃんとしてる・・と思う.
使わない節点まで出てきていたが,そこも修正済み.すぐに計算に使えると思う.だが,ヤング率(弾性係数)は自分で変える必要あり.
実際に使う人が確かめた後に使ったほうがいいと思う.必要であれば改造した方がいいかも・・・.上の画像はx方向分割数4のz方向分割数2の余計な節点がない片持ち梁(一応成功か?)
シェル要素片持ち梁(プログラム)について(12/2/18)
片持ち梁のような長方形断面のものはs6要素よりもs8要素の方が適しているような気がするのでs8要素で片持ち梁ができるようなものを作った.
形しかできていないので拘束条件,載荷条件はこれから足していくつもり.
あと,片持ち梁の一番最後の列は使わないのに節点を出しているので消す必要あり.ホントはプログラムの中でしっかりできてればよかったんだけど,自分が4年の時に作ったものを移植しているのでそこら辺に不備が・・・
でも,x方向分割数とz方向分割数を同じにしなくても形をつくることができるのでどちらかの分割数を増やすことで傾向がみたいときはいいかも?
上の画像はx方向分割数が4でz方向分割数が2のときだが,右端の節点は余計なので消す必要がある.(失敗作)
http://www.str.ce.akita-u.ac.jp/~gotouhan/shibata/kadai.f
このプログラムであれば片持ち梁をどれだけ細長くして分割を増やしても計算可能.
自分がやったのは軸長1m,桁幅2mmで分割数x方向40,z方向40でも大丈夫だった.心配な人はやってみたほうがいいかも.
ただx方向及びz方向の分割数は同じにしないとダメなところは相変わらずなので注意が必要.x方向,z方向どちらかの分割数を増やして傾向をみたいときなんかは困るのでつくり変える必要があるかも?.
新しくしたプログラムの方はb=の部分をなくした形になっている.
ちょっとした疑問?
4年生が使っていたプログラムの中で,細長くして分割数を増やすとおかしくなる現象が起きていたので調査を開始.その中で気になった点を書く.
幅と軸長と厚さ?桁高?を最初の方に入力しているが,シェル要素で桁高は厚さと同じような意味だし,プログラムを見てもその後の計算で桁高を使っている感じもないので入れる必要があるのか?とちょっと疑問に思った.
その後厚さは入力するので二重で入力していることにはならないのか?
上のプログラムの中ではb=を入力しているし,
*SHELL SECTION,ELSET=Eall,MATERIAL=EL
の後にも入れているのでb=の値はいるのか?
交番載荷について(12/1/30)
*RESTART
*RESTART,WRITE,FREQUENCY=1
を使っていく.
Calculix上でのリスタート(再計算)のやり方(詳細)
発表練習だけやってても暇なのでリスタートについて書いておく.これがあればすこしは研究の幅が広がるかもしれない,そうでもないかもしれないけど.
1,計算するreiwrite.inpファイル(名前は何でもいい)の中に
*RESTART
*RESTART,WRITE,FREQUENCY=1
を入れて計算を行う.その時にreiwrite.routファイルが出力される.
2,リスタートファイルreiread.inp(これも名前は何でもいい)を作っておく,その中身は
*RESTART,READ,STEP=1
*RESTART,WRITE,FREQUENCY=1
を書いて,後は荷重の設定をしておく.
ここで節点情報や要素情報はいらず(rinファイルから読み込んでいるからか)
荷重条件だけでいい.ついでに拘束条件もいらない.
3,リスタートファイルはrinファイルを読み込んでその情報を基にリスタートを行っているので,reiwrite.routをreiread.rinにコピーしておく.
4,コピーした後,reiread.inpの計算を行う.そのときreiread.routが出力される.
5,その後またリスタートをする場合,reiread.routをreiread.rinにコピーする.
そしてreiread.inpの中身を
*RESTART,READ,STEP=2
*RESTART,WRITE,FREQUENCY=1
にしてSTEP=の数字を増やす.
6,何回か繰り返してリスタートをする場合には,5の作業を繰り返してSTEP=の数字を
増やしていく.
- これで再計算(リスタート)ができるが,使う使わないはあなた次第.
- 再計算できれば座屈した後の状態から荷重をさらにかけることもできるかもしれない,ただ使う使わないはあなた次第.
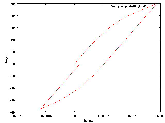
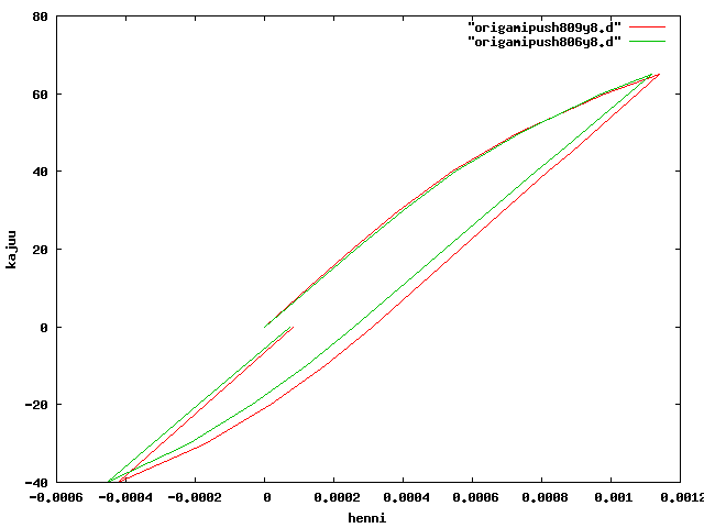
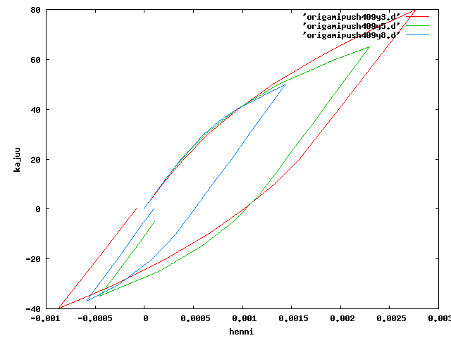
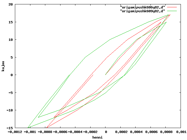
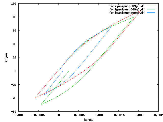
交番載荷の荷重制御(11/11/29)
4角形
6角形
8角形
- 交番載荷を荷重制御にしてプラス側とマイナス側でなるべく同じ荷重でリスタートをさせた結果。
- プラスの方で早めにリスタートさせるとマイナスの方の計算できる限界荷重が以前より大きくなった。
- ccx上の解析では壊れることがないため、リスタートができなくなるのは計算が収束しなくなるため。
文献等
交番荷重の制御など
- ttp://www.nilim.go.jp/lab/bcg/siryou/kpr/prn0032pdf/kp003210.pdf
- ttp://www.arcsec-meijo.jp/event/%E5%88%A5%E5%88%B7%E9%9B%86.pdf
Calculix2.3による解析結果との比較(11/11/20)
リスタートの計算結果
リスタートまでは1.7と2.3で違いは出なかった。しかし、その後のリスタートの計算が1.7ではできたが、2.3はできなかった。動解析は難しいのかもしれない.他の人は動解析ではない結果も違っていたとかいなかったとかの報告をちらほら聞くので正直よく分からないが自分は単純な計算結果は1.7と2.3で同じ結果となった.
| ccx_1.7 | ccx_2.3 |
| 折りたたみ円筒 | ○ | ○ |
| 折りたたみ円筒(リスタート) | ○ | × |
| 片持ち梁 | ○ | ○ |
| 片持ち梁(リスタート) | ○ | × |
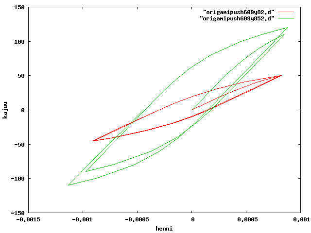
蓋?板付き折りたたみ円筒(11/11/7)
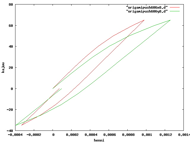
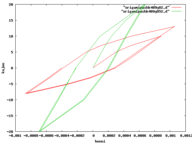
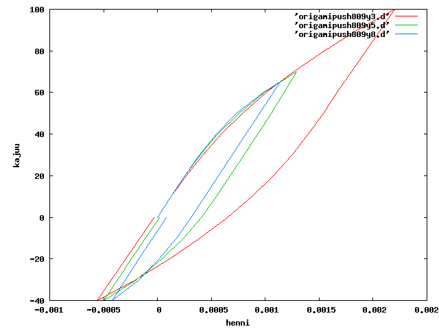
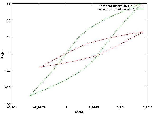
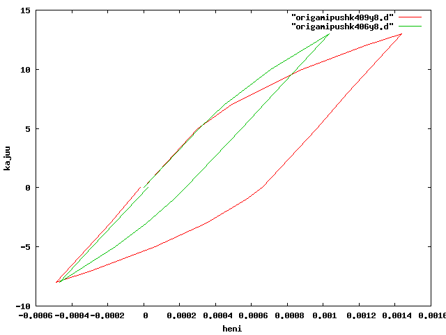
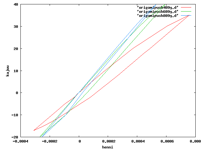
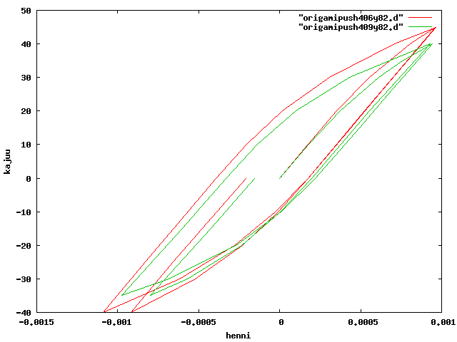
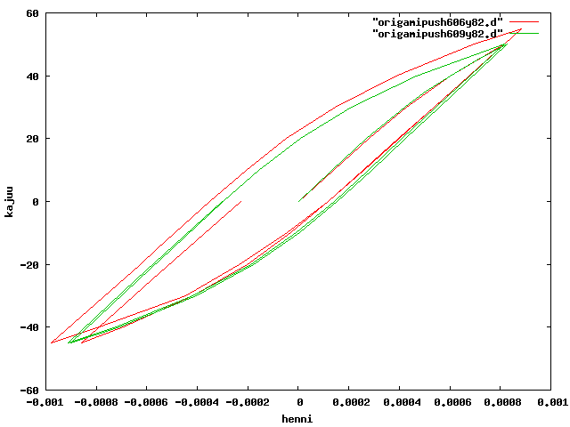
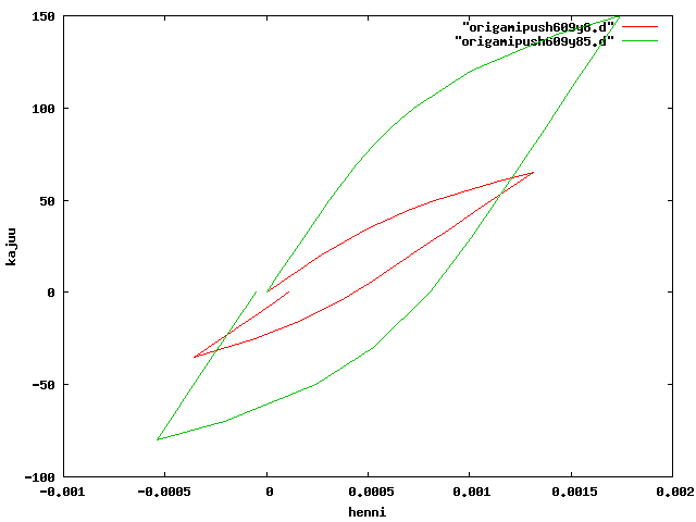
載荷の向きを変えた交番載荷(6角)(11/11/4)
切れ目なし円筒
- x方向とy方向に載荷した結果。
- y方向に載荷した方が変位が小さいため交番載荷するとx方向に載荷した円筒に比べてエネルギーを吸収できない。
- 初期高さ0.9
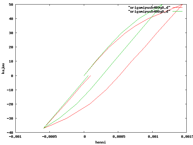
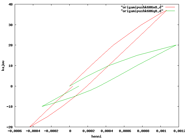
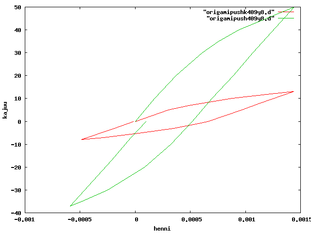
切れ目あり円筒
- 切れ目ありでも上記と同様の解析を行ったが結果も上記と同じになった。
- また、y方向の方が変位が小さくx方向と同じ荷重でリスタートさせようとしてもできなかった。
- 初期高さ0.9
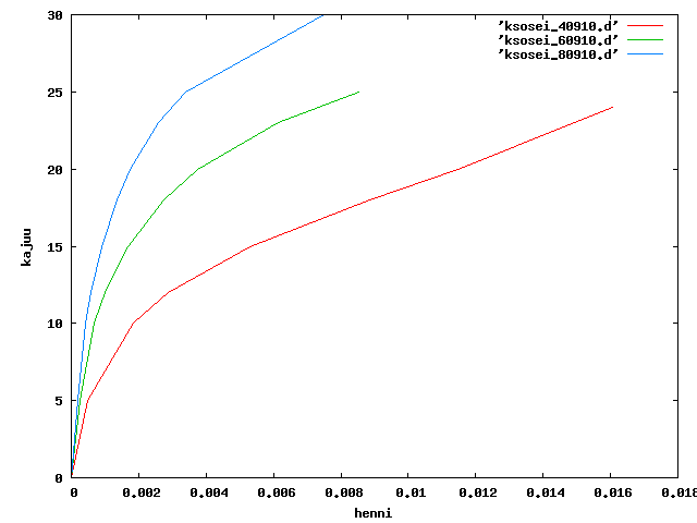
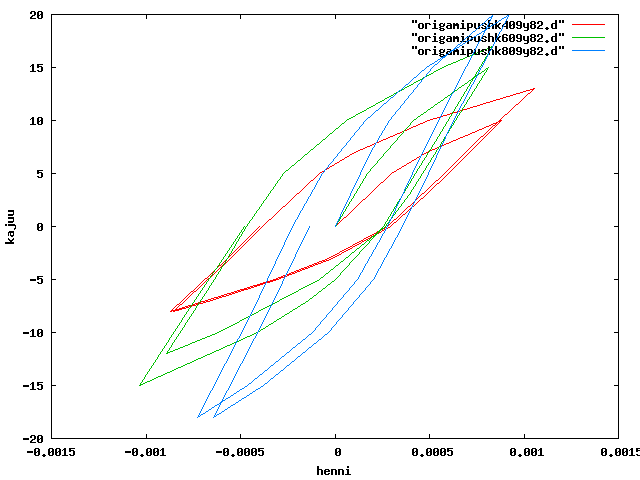
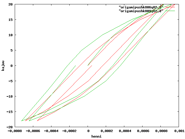
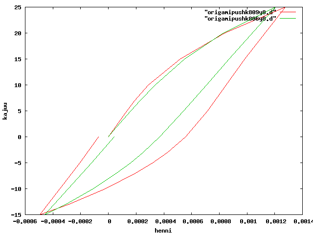
初期高さを変えた交番載荷(切れ目あり)(11/10/13)
4角形の場合(切れ目あり)
- 切れ目ありの円筒の初期高さを0.6と0.9にした結果。
- 初期高さが大きい方がエネルギーを吸収する結果となった。
6角形の場合(切れ目あり)
8角形の場合(切れ目あり)
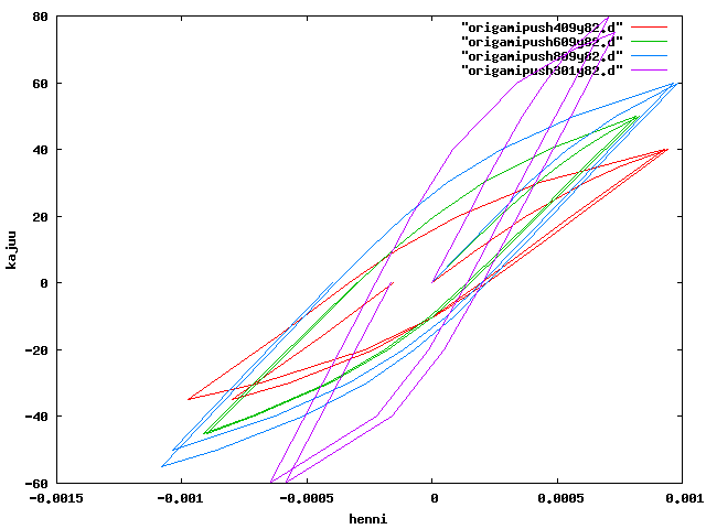
初期高さを変えた交番載荷(11/10/12)
4角形の場合
- 初期高さを0.6と0.9に変化して交番載荷した結果。
6角形の場合
- 初期高さを0.6と0.9に変化して交番載荷した結果。
8角形の場合
- 初期高さを0.6と0.9に変化して交番載荷した結果。
- どの角数でも初期高さが大きいほうがループ(面積)は大きくエネルギーを吸収できる。
xfigのエラーについて(11/9/16)
グラフがxfigで加工できなかったが、viで加工したいfigファイルを開いて
# Begin plot #1
# End plot #1
の前と後にある
6 1612 1351 6974 4550
-6
を消すか、コメント分にするとxfigのEditで加工できる。
切れ目のある円筒の厚さを変化(4角)(11/9/9)
切れ目のある円筒の厚さを変化(6角)(11/9/9)
切れ目のある円筒の厚さを変化(8角)(11/10/11)
厚さ1mmのリスタートができない(11/9/5)
- リスタートが途中までは計算できるが、最後の方でうまく出力できない。
- 4角は出力できたが、6,8角が出力できない。
切れ目のありなしの比較(11/8/31)
- 切れ目のありなしで比較した結果。
- 切れ目のある方が小さい荷重で大きく変位するので、グラフが横長になっている。
切れ目のある円筒のリスタート結果(11/8/31)
切れ目のある円筒(4角)のリスタート(11/8/30)
- 切れ目のある円筒でリスタートした結果。
- 結果は切れ目なしの厚さ1mmと同じような感じになった。
- 赤が切れ目あり
- 緑が切れ目なし
厚さを変えて比較
厚さを変えて比較(8角)(11/9/5)
- 8角形の厚さ1mmもリスタートがうまくいかなかった。
厚さを変えて比較(6角)(11/9/4)
- 6角形の厚さを変えて比較。
- 6角形の厚さ1mmはリスタートがうまくいかなかった。が3mmと5mmで大きく差がでた。
厚さを変えて比較(4角)(11/8/28)
- 円筒の厚さを1mm(加工しやすい)から5mm(加工しにくい)まで変化させた結果。
円筒との比較
円筒との比較3(11/8/25)
- 塑性の式の指数の値を3に固定して円筒と比較した結果
円筒との比較2(11/8/2)
- 塑性の式の指数の値を5に固定して円筒と比較した結果
円筒との比較(11/7/27)
- 塑性の式の指数の値を8に固定して円筒と比較した結果。
20角形の円筒(円筒との比較)(11/7/26)
ダイヤカットのプログラムを変えて出力
伸縮できる円筒のプログラムにて出力
- 円筒との比較のため角数を多くして出力。
- 初期高さが1なので角数を増やしても正常に出力。
8角の円筒のリスタート計算結果(11/7/25)
6角の円筒のリスタート計算結果(11/7/20)
4角の円筒のリスタート計算結果(11/7/15)
- 塑性のパラメータにある指数の値を変化させた結果。
- 完全弾塑性(指数の値が大きい)に近づくほどリスタートがしにくくなった。
4角と6角と8角の円筒(11/7/9)
- 完全弾塑性にするため塑性の式の指数部分の値が100
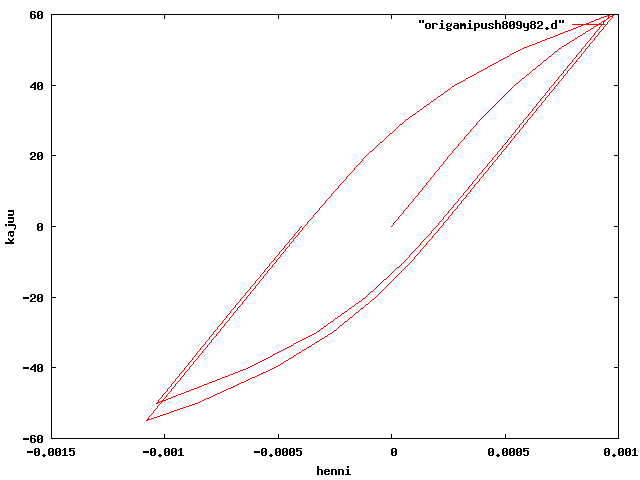
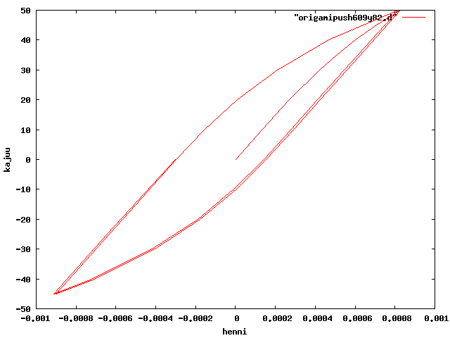
RESTART(伸縮できる円筒ver)(11/7/6)
- y方向(せん断方向)に載荷した結果。
- 塑性を入力するところの指数を100から8に変えた結果。
- y方向(せん断方向)に載荷した結果。
- 塑性で計算できなくなるところではリスタートできなかった。
- z方向(軸方向)に載荷した結果。
- 塑性を入れて計算した後、リスタートさせたが計算できなかった。
- 塑性に入ると計算できなくなるのかもしれないと思ったのだが、
リスタートできる荷重を探していたら塑性に入ってすぐはリスタートできた。
- しかし上のグラフのようになってしまった。
RESTARTについて2(11/6/28)
- 計算できなくなったところから再計算させた結果。
- step5まで計算した結果。
- 荷重が74kNを超えたところで計算できなくなるので、
そこから荷重をマイナスにして再計算した結果のグラフ。
- 再計算は少しの荷重で計算ができなくなった。
RESTARTについて(11/6/9)
*RESTART,WRITE,FREQUENCY=1
を入れて計算すると~.routが出力される。
*RESTART,READ,STEP=1
を入れて計算すると~.rinが出力される。
RESTARTのエラーについて(11/6/9)
WRITE→READの順に計算すると思う。
しかしそのまま計算すると、
*ERROR in restartshort: requested step
is not in the restart file
のエラーが出てしまうので、
~.routの中を~.rinにコピーしたが、
*ERROR in nodes: *NODE should be placed
before all step definitions
のエラーが出てしまって計算できない。
荷重と変位(初期高さ0.9 円周が40cm)(11/5/26)
切れ目なし
切れ目あり
切れ目に対して垂直に載荷(11/5/30)
切れ目に沿って載荷(11/5/31)
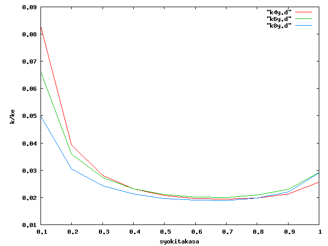
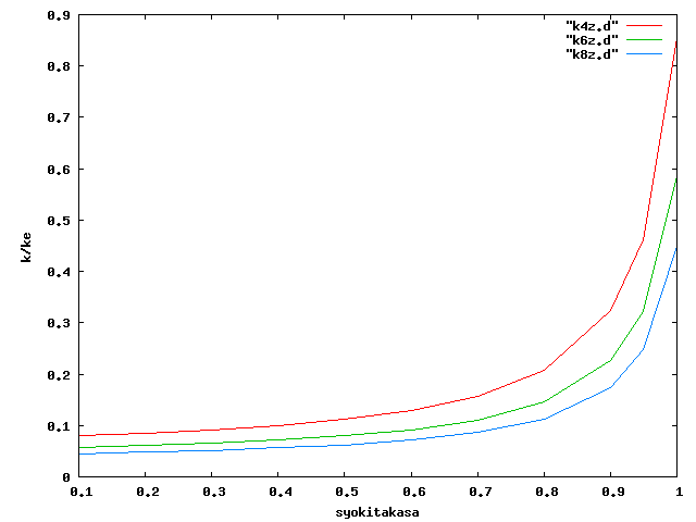
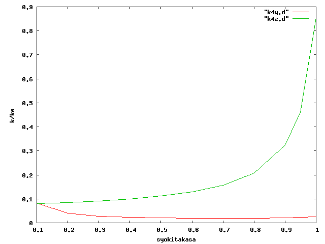
初期高さと$\frac{k}{k_円}$の関係
切れ目なし(高さ方向分割数10)(11/5/25)
切れ目あり(高さ方向分割数10)(11/5/25)
高さ方向分割数を少なくするとうまく出力できない(11/5/17)
- 高さ方向分割数が10のときでも出力される。初期高さが0.8
- 徐々に伸縮できる円筒をつくっている台形の上底が短くなっていく。
- 初期高さが0.7
- 初期高さが0.6だと台形というより三角形になっている。
- 昨年と同じ寸法(円周が30cm)であれば、高さ方向分割数が10のときでも
4角形、6角形のときはきちんと出力される。
切れ目に垂直な方向に載荷したとき(11/5/13)
切れ目に沿う方向に載荷したとき(11/5/13)
座標変換プログラム
4,6,8角形の初期高さが0.9の円筒(高さ方向分割数が10ver)
切れ目なしの荷重と変位の関係(11/4/25)
切れ目ありの荷重と変位の関係(11/4/25)
4,6,8角形の切れ目のある円筒(4/3)
切れ目のある円筒(再計算)(3/21)
- 4,6,8角形の切れ目のある円筒
- 鉛直方向荷重
- 水平方向荷重
とりあえず4角形を再計算。(3/17)ここからM2の作業です.
- 石崎くんのグラフと似たような傾向を示した。
- 変位を読み取る点が少し違うせいかグラフが少し違う。
tex
- x.figで加工した○○.pstexは○○.pstex_tで文字などを編集できる。
- ○○.pstex_tで文字の位置、大きさ、色など変えれるが、文字以外も移動などができる。
- ○○.pstex_tの一番上の\begin{picture}(0,0)の数字を変えて、左右に移動できる。
- 同様にその下にある\begin{picture}(6747,4378)(511,-4801)の
(511,-4801)の中の数字を変えると上下に移動できる。
高さ方向分割数が少ないときちんと描けない
高さ方向分割数と高さの関係(11/01/13)
- 高さの値が大きくて、初期高さの設定が小さいときちんと描けない。
- 左が高さが10cm,初期高さが0.1
- 右が高さが30cm,初期高さが0.1
周方向分割数と円周の関係(11/01/13)
- 円周の値が小さくて、円周方向分割数が大きいときも描けない。
- 左が円周が40cm,初期高さが0.1
- 右が円周が20cm,初期高さが0.1
- 周方向分割数は両方ともに10
- 周方向分割数を大きくするときは、円周の値を大きくしないと描けない。
- 高さ方向分割数を小さくするときは、高さの値を小さくしないと描けない。
木橋関係
節点を共有させるプログラム2(10/12/13)
- kyoyuuf.f
- mokuw.f
- 上下ともに完成。これなら1回で出力できる。が、0の行を消すのが大変かも。
- 使っていない節点は消したほうがいいかも知れない。↓細かく分割。
節点を共有させるプログラム(10/12/12)
ダイヤカットの座屈関係
材料諸元は、
| 半径(cm) | 高さ(cm) | ヤング率(アルミ)(MPa) | ポアソン比 | 厚さ[mm] |
| 16 | 50 | 70000 | 0.300000012 | 1 |
座屈に関しては、
- no buckling occursエラーがでるのは、
荷重が10Nより大きいか、1×$10^{-4}$Nより小さいとき。
inpのCLOADと、datの座屈荷重(10/11/30)
| CLOAD | 10/n | 1/n | 0.1/n | 0.05/n | 0.01/n | 0.001/n | 0.0001/n |
| 座屈荷重 | 座屈せず | 5.870522 | 0.5870469×$10^{2}$ | 0.1174076×$10^{3}$ | 0.5870234×$10^{3}$ | 0.5872686×$10^{4}$ | 座屈せず |
座屈荷重については、ここにかいてあるので参考に。
精度について
荷重が0.01/nのとき
| 精度 | 0.01 | 0.001 | 0.0001 | 0.00001 |
| 座屈荷重 | 0.5870234×$10^{3}$ | 0.5870234×$10^{3}$ | 0.5870234×$10^{3}$ | 0.5870234×$10^{3}$ |
モードの倍率 0.003で描いてみた。(10/11/24)
返答と分からないこと(10/11/24)
- 荷重を少なくしたらJob finishedしました。
- 荷重が大きすぎても、小さすぎてもno buckling occursがでてしまうんですが、
荷重が小さいときは座屈が起きていないんだと思うんですが、荷重が大きいときのエラーの意味がよく分からないです・・・。
後藤ちゃちゃ(10/11/24)
さっき、江村さんとこで、ccx_1.7+tasudatw.fで書かせようとしたときは、
no buckling occursエラーでしたが、どうやったらモード出せましたか。
なるほど、そうすると、ここにあるように、倍率を
調整すれば、ccx_1.7+tasudatw.fでモード図をかけるということですね。
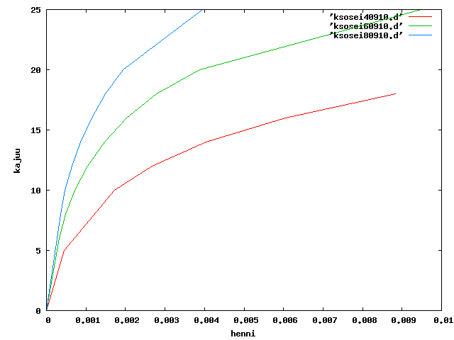
伸縮できる円筒の塑性関係
*DEFORMATION PLASTICITY
210000.,0.3,235,100,0.5
- 上の値を入れて計算した。降伏応力は235MPaとしたが、応力が200を超えたあたりで計算できなくなった。が割とまっすぐになった。
後藤ちゃちゃ(10/11/15)
アクセス制限下のccxマニュアル中の画像を引用するとパスワードを求められるので、
ここに式を書けばいいのでは?
$E\epsilon=\sigma+\alpha(\frac{|\sigma |}{\sigma_{0}})^{n-1}\sigma$
指数っていうのは、この(n-1)の部分を指定できるということかな。
そうだと思います。
nが1だと$(\frac{|\sigma |}{\sigma_{0}})^{n-1}$の部分が常に1になって、
一番下のグラフみたいに直線になります。
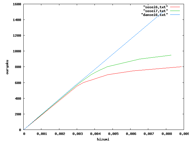
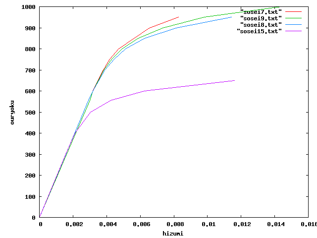
*DEFORMATION PLASTICITY
210000.,0.3,800.,12,0.4
- 指数は整数でないと計算量が多くなって大変。(ピリオドをつけると実数)
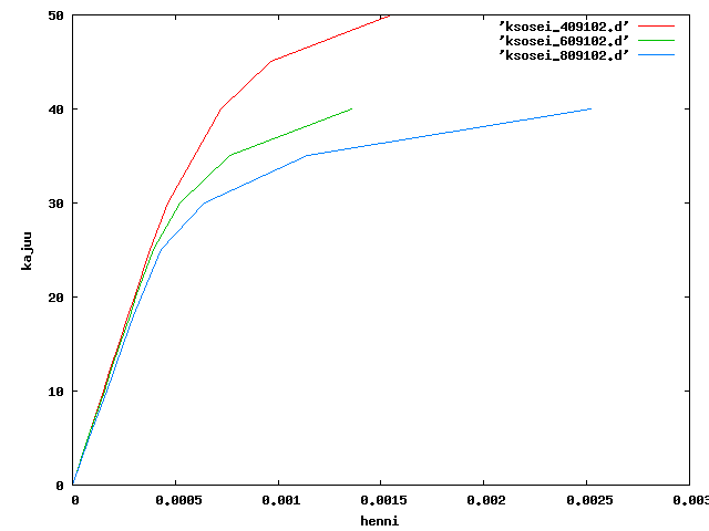
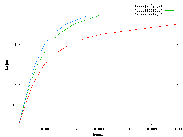
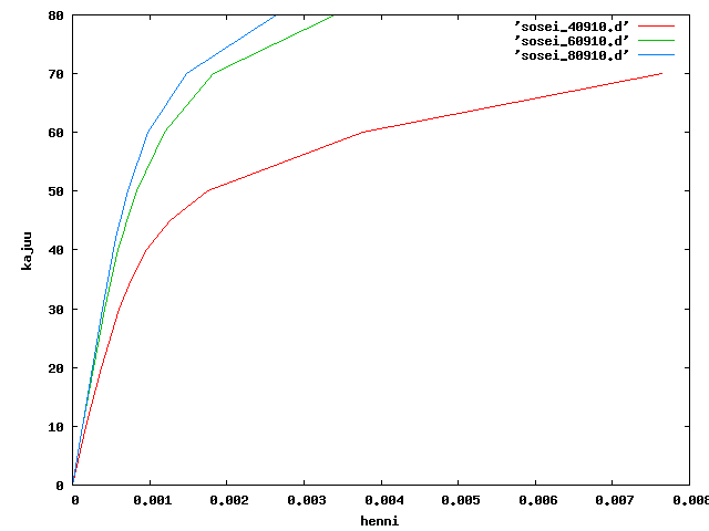
- 左からヤング率、ポアソン比、降伏応力、指数、上の式の$alpha$
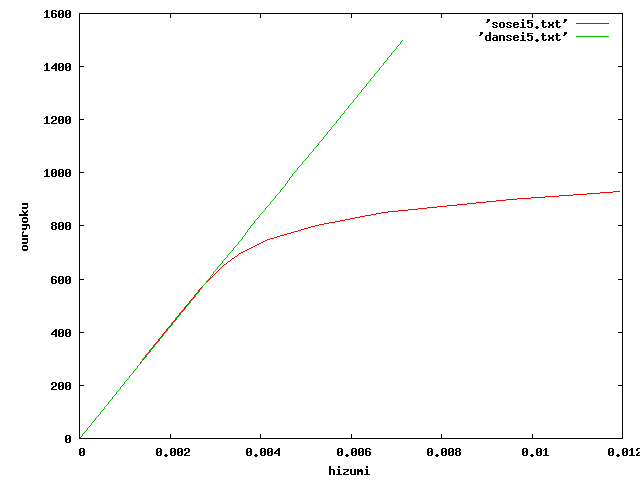
- 上のグラフは降伏応力を800と1000で変えた結果。弾性のときのも一緒にプロット。
- 右の図のモデル(四角柱)を引っ張ったときの応力とひずみの関係。
- 高さは12cm 面積は0.00018$cm^{2}$
- sosei6.txtが800、sosei7.txtが1000
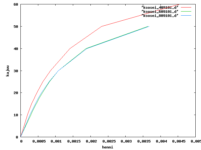
- 上のグラフは*DEFORMATION PLASTICITYの一番右の値を変えたときのグラフ。
- 上から0.4,0.6,0.8,100
- 入れずに計算させると途中で止まる。
- 上のグラフは指数の値を変えたときのグラフ。
- 曲線は上から12,24,100
- sosei11.txtは指数の値が1のとき。
salome関係
salomeのプログラム(11/01/14)
- salomec8.f
- 底だけヤング率の違うプログラム
- 入れるdatファイルがないので確かめはしていませんが、たぶん大丈夫。
cgxでsalomeの円柱を出力
- salomeの節点と要素番号をそのままinpファイルに変換するプログラム
salomec.f
3 102 4 1
1 102 1 3
9 203 8 6 2
19 203 9 4 3
- 使うときにsalomeで作ったdatファイルの中に
上記の値などが途中に入っているのでそれらを消して要素の前に要素数を入力する必要がある。
2つのdatファイルのデータを1つのinpファイルにするプログラム
- salomec3.f
- 下記のようにdatファイルの中に2つ分のデータを入れておく必要がある。
- 載荷点、拘束点、ヤング率などは適宜変えてください。
- 2つのdatファイルをそのまま入れているだけなので、節点は共有していません。
変位が大きくでてしまう理由について
- 変位が大きくでてしまう原因は、拘束点が箱に入れる棒?のほうにしかないからだと思います。箱と棒は節点を共有していないので、棒のほうを拘束しても箱のほうには拘束がないことになります。
なので、箱は拘束なしで荷重だけかけたことになり、大きな変位がでたと思います。
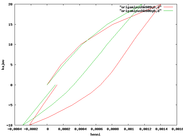
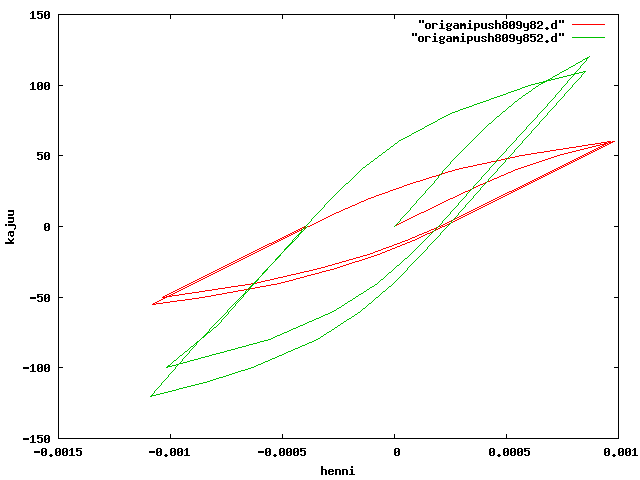
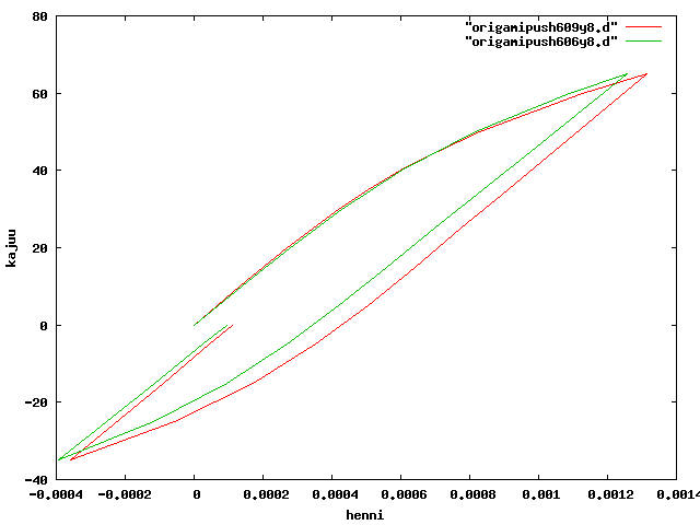
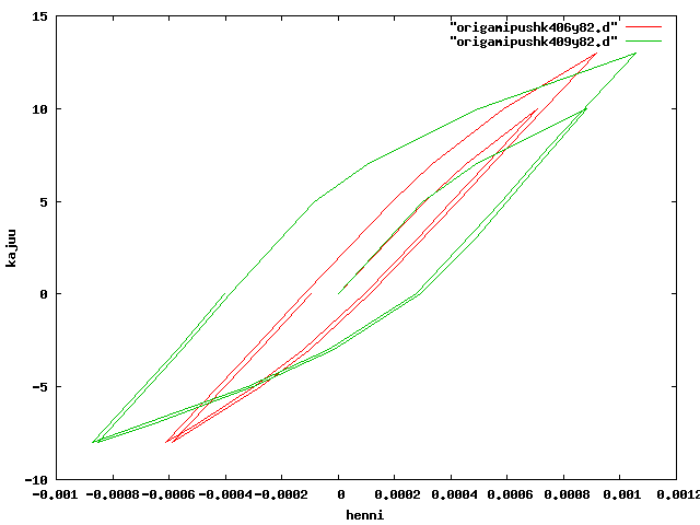
折り紙構造関係
波形鋼板(両端まっすぐver)(10/11/2)
- 16×6分割
- 両端まっすぐにするダイヤカットのプログラム(点対称)(11/2)
- daiyahanf.f
- 節点数が違ったので直した。
- いろんなパターンでためしてみてちゃんとでるか確認はまだしていない。
- おそらく大丈夫だと思います。左端の真っ直ぐにした部分は少しだけずれてました。エムラ
open(7,file='yousosuu.txt') !yousosuu.fで数えた要素数ファイル
read(7,*) nyou !要素数の読み込み
の下に
read(7,*) m,n,l
いれておけば、ちょっとは楽になる。(ble6ccxをいちいちコンパイルしなくて済む)
波がいくつかある波形鋼板(10/9/17)
- 点対称の波形鋼板
まっすぐ切ったダイヤカット円筒 (10/9/8)
- 20×8分割
- 端も大きい三角形ではなく、細かく分割。
- まっすぐ切ったダイヤカット(節点のみ合ってる)
daiyahan11.f
- 載荷点だけを出力できるようにしたプログラム(両端まっすぐ)
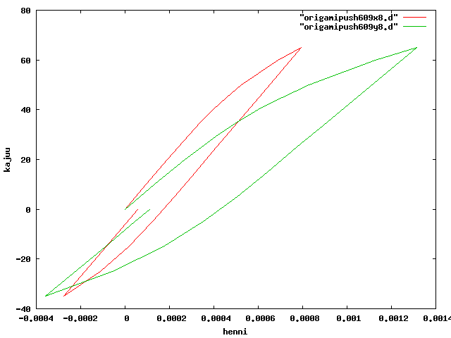
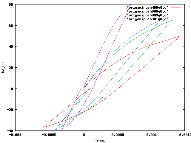
波形鋼板ウェブ(1/4ver) (10/9/8)(10/9/10)
波形鋼板ウェブ(1/2ver)とまっすぐ切ったダイヤカット(10/7/30)
- 波形鋼板ウェブみたいな形のものを作ってみた。
- 波形鋼板は半円のダイヤカットのつなぎ目がちょっとズレている。が、だいたいこんな感じ?だろうか
- 右はエレメントをつなげてみた。つながっているところは折り目なし。
- 端をまっすぐ切ったダイヤカットを作ってみた。
- 端のエレメントが他のエレメントより大きくなってしまった。が、形はこんな感じか?
- 端のまっすぐのところは折り目がついていない。
- 端に使っていない節点がある。
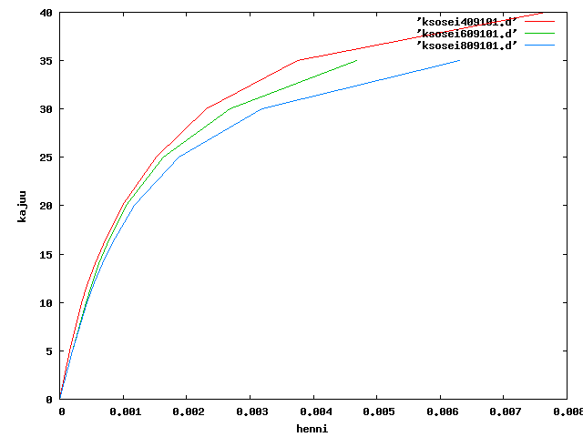
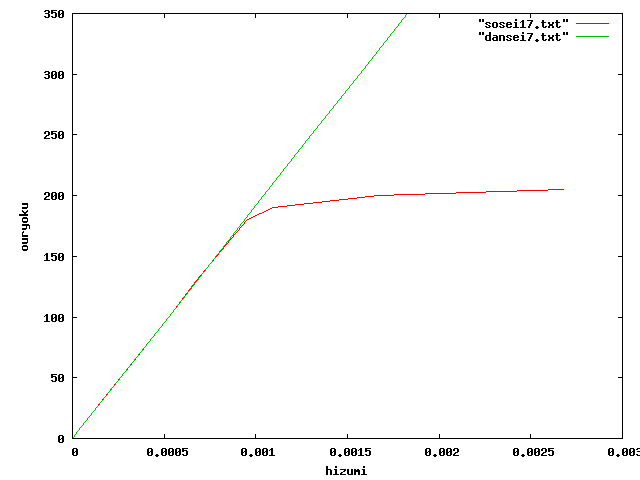
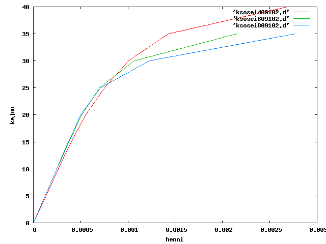
応力-ひずみ曲線2
s6要素の片持ち梁を引っ張ったときの応力-ひずみ曲線
*DEFORMATION PLASTICITY
210000.,0.3,800.,12.,0.4
を入れて計算すると上図のような結果になった。
ダイヤカット円筒(半分)
ダイヤカットを切って半分にしてみた。が少し違う?
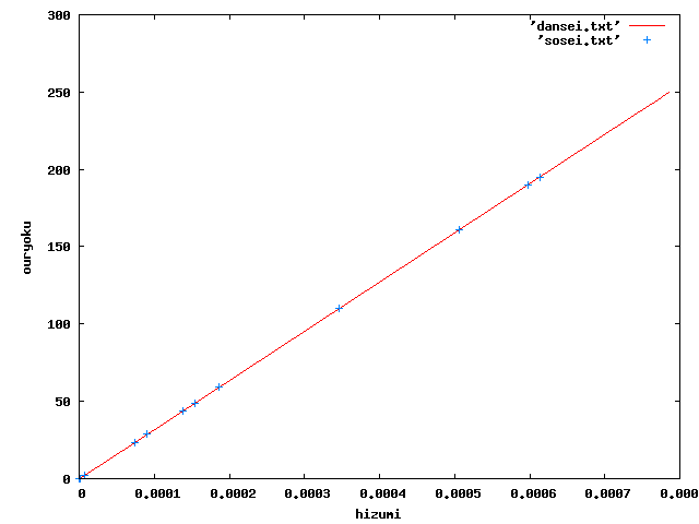
応力-ひずみ曲線
*PLASTIC
235.,0.
245.,0.5
をいれて計算してみたところ、応力が200MPaを超えると下記のエラーが表示される。
*ERROR: increment size smaller than minimum
best solution and residuals are in the frd file
2010後期分
| 時間 | 月 | 火 | 水 | 木 | 金 |
| 1.2時限 | 8:50-10:20 | | | | | |
| 3.4時限 | 10:30-12:00 | | | 環境材料学(ゼミ) | | |
| 5.6時限 | 12:50-14:20 | 物理学実験(TA) | | 技術者倫理特論Ⅱ | | 木構造工学 |
| 7.8時限 | 14:30-16:00 | 物理学実験(TA) | | 構造設計学特論 | | |
2010前期分
| 時間 | 月 | 火 | 水 | 木 | 金 |
| 1.2時限 | 8:50-10:20 | 建設構造工学 | | | | |
| 3.4時限 | 10:30-12:00 | 構造力学特論 | | 材料設計学 | 交通システム計画特論 | |
| 5.6時限 | 12:50-14:20 | | 土質工学特論 | 物理学実験(TA) | ゼミ | |
| 7.8時限 | 14:30-16:00 | | | 物理学実験(TA) | 土木環境工学実験(TA) | |
構造実験(アクリル片持ち梁のたわみ試験)
http://www.str.ce.akita-u.ac.jp/~gotou/zikken/
hanikamu.f
ここにくるなんて物好きッスね。それか相当焦っているか。一応、ここにハニカム(柴田)を置いていくので利用したい人は利用してみて。しかし、このプログラムでできているのは節点番号と要素番号だけで拘束条件、載荷条件は正しくないので作る必要あり。
と、この最後の文は旅立つ朝7時頃に書いております。ねむ・・くはあまりない。
この3年間(大学の半分も)研究室にお世話になりました。色んなことがここであったような気がします。プログラムができなくてあ〜ってなったりtexの図が思うようにでなくてあ〜ってなったり4年の頃卒論をまとめる時期深夜に研究室で変にテンション上がったり最初人数いなくて最近は増えたなぁ〜とか思ったりあんまり書くと涙腺が・・・(嘘です)。
M1とは2年一緒にいたけど、いい子達でしたしもっとしゃべってみたかったかな。
4年生とは1年だったけどおとなしい子達で(自分にはそう見えたが)やっぱりもっとしゃべってみたかったかな。もっと教えてあげられるとことか手伝ってあげられるとこがあったように思って後悔してることとかもあります。そんなことないよって言ってもらえたら泣いちゃいますけど。あんまり書くと恥ずかしいこととか書きそうになるのでこんな最後にこっそり書いてます。ここを見る人が何人いることやら。
え〜と、とにかく全部ひっくるめて楽しかったです。
ありがとうございました。